Example 2. Drives and Their Vicissitudes (cont.)
With a little thought it is possible to devise a canonical indexing scheme for the states in differential logical systems. A scheme of that order allows for comparing changes of state in universes of discourse that weigh in on different scales of observation.
To that purpose, let us index the states with the dyadic rationals (or the binary fractions) in the half-open interval
Formally and canonically, a state
is indexed by a fraction
whose denominator is the power of two
and whose numerator is a binary numeral formed from the coefficients of state in a manner to be described next.
The differential coefficients of the state are just the values
for
where
is defined as being identical to
To form the binary index
of the state
the coefficient
is read off as the binary digit
associated with the place value
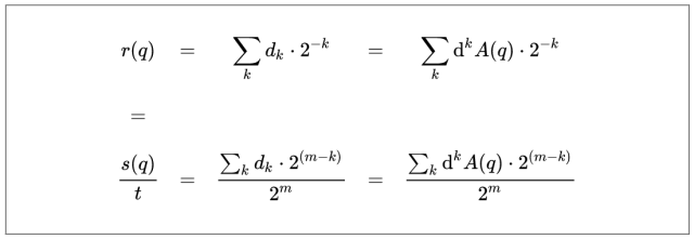
Expressed by way of algebraic formulas, the rational index
of the state
is given by the following equivalent formulations.
Resources
cc: FB | Differential Logic • Laws of Form • Mathstodon • Academia.edu
cc: Conceptual Graphs (1) (2) • Cybernetics • Structural Modeling • Systems Science

Pingback: Survey of Differential Logic • 6 | Inquiry Into Inquiry
Pingback: Survey of Differential Logic • 7 | Inquiry Into Inquiry