Inquiry Into Inquiry
Skip to content
  • Home
  • About
  • Bibliography
  • Elsewhere❢
  • Logic Syllabus
  • Miscellaneous
  • Pending
  • Readings
  • Scratchpad
  • Surveys
  • Tables
  • The Big Picture
  • Toolbox
  • Work
    • Work 1
    • Work 2
    • Work 3
    • Work 4
    • Work 5
    • Work 6
    • Work 7
    • Work 8
    • Work 9
    • Work A
    • Work B
    • Work C
    • Work D
    • Work E
    • Work F
    • Work G
    • Work H
    • Work I
    • Work J
    • Work K
    • Work L
    • Work M
    • Work N
    • Work O
    • Work P
    • Work Q
    • Work R
    • Work S
    • Work T
    • Work U
    • Work V
    • Work W
    • Work X
    • Work Y
    • Work Z
    • Work α
    • Work β
    • Work γ
    • Work δ
    • Work ε
    • Work ζ
    • Work η
    • Work θ
    • Work ι
    • Work κ
    • Work λ
    • Work μ
    • Work ν
    • Work ξ
    • Work ο
    • Work π
    • Work ρ
    • Work σ
    • Work τ
    • Work υ
    • Work φ
    • Work χ
    • Work ψ
    • Work ω
    • Work ䷀
    • Work ䷁
    • Work ䷂
    • Work ䷃
    • Work ䷄
    • Work ䷅
    • Work ䷆
    • Work ䷇
    • Work ䷈
    • Work ䷉
    • Work ䷊
    • Work ䷋
    • Work ䷌
    • Work ䷍
    • Work ䷎
    • Work ䷏
    • Work ䷐
    • Work ䷑
    • Work ䷒
    • Work ䷓
    • Work ䷔
    • Work ䷕
    • Work ䷖
    • Work ䷗
    • Work ䷘
    • Work ䷙
    • Work ䷚
    • Work ䷛
    • Work ䷜
    • Work ䷝
    • Work ䷞
    • Work ䷟
    • Work ䷠
    • Work ䷡
    • Work ䷢
    • Work ䷣
    • Work ䷤
    • Work ䷥
    • Work ䷦
    • Work ䷧
    • Work ䷨
    • Work ䷩
    • Work ䷪
    • Work ䷫
    • Work ䷬
    • Work ䷭
    • Work ䷮
    • Work ䷯
    • Work ䷰
    • Work ䷱
    • Work ䷲
    • Work ䷳
    • Work ䷴
    • Work ䷵
    • Work ䷶
    • Work ䷷
    • Work ䷸
    • Work ䷹
    • Work ䷺
    • Work ䷻
    • Work ䷼
    • Work ䷽

Work ䷣

Functional Logic • Inquiry and Analogy • 16

Higher Order Universe of Discourse

PNG

Higher Order Universe of Discourse
\text{Higher Order Universe of Discourse}~ [ \ell_{00}, \ell_{01}, \ell_{10}, \ell_{11} ] \subseteq [[ u, v ]]

JPG

Higher Order Universe of Discourse
\text{Higher Order Universe of Discourse}~ [ \ell_{00}, \ell_{01}, \ell_{10}, \ell_{11} ] \subseteq [[ u, v ]]

GIF

Higher Order Universe of Discourse
\text{Higher Order Universe of Discourse}~ [ \ell_{00}, \ell_{01}, \ell_{10}, \ell_{11} ] \subseteq [[ u, v ]]

\text{Qualifiers}~ \ell_{ij} : (\mathbb{B} \times \mathbb{B} \to \mathbb{B}) \to \mathbb{B}

PNG 2.0

Qualifiers ℓ_ij : (B × B → B) → B

PNG 1.0

Qualifiers ℓ_ij : (B × B → B) → B

LaTeX 2.0

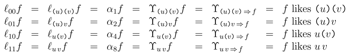
\begin{array}{*{11}{l}}  \ell_{00} f  & = & \ell_{\texttt{(} u \texttt{)(} v \texttt{)}} f  & = & \alpha_1 f  & = & \Upsilon_{\texttt{(} u \texttt{)(} v \texttt{)}} f  & = & \Upsilon_{\texttt{(} u \texttt{)(} v \texttt{)} \,\Rightarrow\, f}  & = & f ~\text{likes}~ \texttt{(} u \texttt{)(} v \texttt{)}  \\  \ell_{01} f  & = & \ell_{\texttt{(} u \texttt{)} v} f  & = & \alpha_2 f  & = & \Upsilon_{\texttt{(} u \texttt{)} v} f  & = & \Upsilon_{\texttt{(} u \texttt{)} v \,\Rightarrow\, f}  & = & f ~\text{likes}~ \texttt{(} u \texttt{)}  v  \\  \ell_{10} f  & = & \ell_{u  \texttt{(} v \texttt{)}} f  & = & \alpha_4 f  & = & \Upsilon_{u \texttt{(} v \texttt{)}} f  & = & \Upsilon_{u \texttt{(} v \texttt{)} \,\Rightarrow\, f}  & = & f ~\text{likes}~ u  \texttt{(} v \texttt{)}  \\  \ell_{11} f  & = & \ell_{u \, v} f  & = & \alpha_8 f  & = & \Upsilon_{u \, v} f  & = & \Upsilon_{u \, v \,\Rightarrow\, f}  & = & f ~\text{likes}~ u \, v  \end{array}

LaTeX 1.0

\begin{array}{*{11}{l}}  \ell_{00} f  & = & \ell_{(u)(v)} f  & = & \alpha_1 f  & = & \Upsilon_{(u)(v)} f  & = & \Upsilon_{(u)(v)\ \Rightarrow f}  & = & f\ \mathrm{likes}\ (u)(v)  \\  \ell_{01} f  & = & \ell_{(u) v} f  & = & \alpha_2 f  & = & \Upsilon_{(u) v} f  & = & \Upsilon_{(u) v\ \Rightarrow f}  & = & f\ \mathrm{likes}\ (u) v  \\  \ell_{10} f  & = & \ell_{u (v)} f  & = & \alpha_4 f  & = & \Upsilon_{u (v)} f  & = & \Upsilon_{u (v)\ \Rightarrow f}  & = & f\ \mathrm{likes}\ u (v)  \\  \ell_{11} f  & = & \ell_{u v} f  & = & \alpha_8 f  & = & \Upsilon_{u v} f  & = & \Upsilon_{u v\ \Rightarrow f}  & = & f\ \mathrm{likes}\ u v  \end{array}

Share this:

  • Share on Bluesky (Opens in new window) Bluesky
  • Email a link to a friend (Opens in new window) Email
  • Share on Facebook (Opens in new window) Facebook
  • Share on LinkedIn (Opens in new window) LinkedIn
  • Share on Mastodon (Opens in new window) Mastodon
Like Loading...
Inquiry Into Inquiry
Blog at WordPress.com.
  • Subscribe Subscribed
    • Inquiry Into Inquiry
    • Join 255 other subscribers
    • Already have a WordPress.com account? Log in now.
    • Inquiry Into Inquiry
    • Subscribe Subscribed
    • Sign up
    • Log in
    • Copy shortlink
    • Report this content
    • View post in Reader
    • Manage subscriptions
    • Collapse this bar

Loading Comments...

    %d