Inquiry Into Inquiry
Skip to content
  • Home
  • About
  • Bibliography
  • Elsewhere❢
  • Logic Syllabus
  • Miscellaneous
  • Pending
  • Readings
  • Scratchpad
  • Surveys
  • Tables
  • The Big Picture
  • Toolbox
  • Work
    • Work 1
    • Work 2
    • Work 3
    • Work 4
    • Work 5
    • Work 6
    • Work 7
    • Work 8
    • Work 9
    • Work A
    • Work B
    • Work C
    • Work D
    • Work E
    • Work F
    • Work G
    • Work H
    • Work I
    • Work J
    • Work K
    • Work L
    • Work M
    • Work N
    • Work O
    • Work P
    • Work Q
    • Work R
    • Work S
    • Work T
    • Work U
    • Work V
    • Work W
    • Work X
    • Work Y
    • Work Z
    • Work α
    • Work β
    • Work γ
    • Work δ
    • Work ε
    • Work ζ
    • Work η
    • Work θ
    • Work ι
    • Work κ
    • Work λ
    • Work μ
    • Work ν
    • Work ξ
    • Work ο
    • Work π
    • Work ρ
    • Work σ
    • Work τ
    • Work υ
    • Work φ
    • Work χ
    • Work ψ
    • Work ω
    • Work ䷀
    • Work ䷁
    • Work ䷂
    • Work ䷃
    • Work ䷄
    • Work ䷅
    • Work ䷆
    • Work ䷇
    • Work ䷈
    • Work ䷉
    • Work ䷊
    • Work ䷋
    • Work ䷌
    • Work ䷍
    • Work ䷎
    • Work ䷏
    • Work ䷐
    • Work ䷑
    • Work ䷒
    • Work ䷓
    • Work ䷔
    • Work ䷕
    • Work ䷖
    • Work ䷗
    • Work ䷘
    • Work ䷙
    • Work ䷚
    • Work ䷛
    • Work ䷜
    • Work ䷝
    • Work ䷞
    • Work ䷟
    • Work ䷠
    • Work ䷡
    • Work ䷢
    • Work ䷣
    • Work ䷤
    • Work ䷥
    • Work ䷦
    • Work ䷧
    • Work ䷨
    • Work ䷩
    • Work ䷪
    • Work ䷫
    • Work ䷬
    • Work ䷭
    • Work ䷮
    • Work ䷯
    • Work ䷰
    • Work ䷱
    • Work ䷲
    • Work ䷳
    • Work ䷴
    • Work ䷵
    • Work ䷶
    • Work ䷷
    • Work ䷸
    • Work ䷹
    • Work ䷺
    • Work ䷻
    • Work ䷼
    • Work ䷽

Work ䷯

Functional Logic • Inquiry and Analogy • 21

PNG

Umpire Fig 1

UMP 1

Umpire TeX 1

UMP 1

UMP 1

UMP 1

UMP 2

UMP 2

UMP 3

UMP 3

UMP 4

UMP 4

HTML + LaTeX

UMP 1

\Upsilon : \bigcup_{\ell = 1, 2, 3} ((\mathbb{B}^k \to \mathbb{B})^\ell \to \mathbb{B})

UMP 2

\begin{matrix}  \Upsilon_p^r q = \Upsilon (p, q, r)  \\[10pt]  \Upsilon_p^r : (\mathbb{B}^k \to \mathbb{B}) \to \mathbb{B}  \end{matrix}

UMP 3

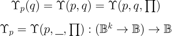
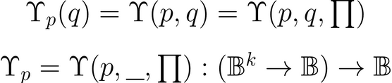
\begin{matrix}  \Upsilon_p (q) = \Upsilon (p, q) = \Upsilon (p, q, \textstyle\prod)  \\[10pt]  \Upsilon_p = \Upsilon (p, \underline{~~}, \textstyle\prod) : (\mathbb{B}^k \to \mathbb{B}) \to \mathbb{B}  \end{matrix}

UMP 4

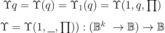
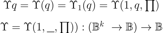
\begin{matrix}  \Upsilon q = \Upsilon (q) = \Upsilon_1 (q) = \Upsilon (1, q, \textstyle\prod)  \\[10pt]  \Upsilon = \Upsilon (1, \underline{~~}, \textstyle\prod)) : (\mathbb{B}^k\ \to \mathbb{B}) \to \mathbb{B}  \end{matrix}

Share this:

  • Share on Bluesky (Opens in new window) Bluesky
  • Email a link to a friend (Opens in new window) Email
  • Share on Facebook (Opens in new window) Facebook
  • Share on LinkedIn (Opens in new window) LinkedIn
  • Share on Mastodon (Opens in new window) Mastodon
Like Loading...
Inquiry Into Inquiry
Blog at WordPress.com.
  • Subscribe Subscribed
    • Inquiry Into Inquiry
    • Join 255 other subscribers
    • Already have a WordPress.com account? Log in now.
    • Inquiry Into Inquiry
    • Subscribe Subscribed
    • Sign up
    • Log in
    • Copy shortlink
    • Report this content
    • View post in Reader
    • Manage subscriptions
    • Collapse this bar
 

Loading Comments...
 

    %d