Inquiry and Analogy • Generalized Umpire Operators
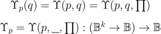
To get a better handle on the space of higher order propositions and continue developing our functional approach to quantification theory, we’ll need a number of specialized tools. To begin, we define a higher order operator called the umpire operator, which takes 1, 2, or 3 propositions as arguments and returns a single truth value as the result. Operators with optional numbers of arguments are called multigrade operators, typically defined as unions over function types. Expressing
in that form gives the following formula.
In contexts of application, that is, where a multigrade operator is actually being applied to arguments, the number of arguments in the argument list tells which of the optional types is “operative”. In the case of the first and last arguments appear as indices, the one in the middle serving as the main argument while the other two arguments serve to modify the sense of the operation in question. Thus, we have the following forms.
The operation evaluates the proposition
on each model of the proposition
and combines the results according to the method indicated by the connective parameter
In principle, the index
may specify any logical connective on as many as
arguments but in practice we usually have a much simpler form of combination in mind, typically either products or sums. By convention, each of the accessory indices
is assigned a default value understood to be in force when the corresponding argument place is left blank, specifically, the constant proposition
for the lower index
and the continued conjunction or continued product operation
for the upper index
Taking the upper default value gives license to the following readings.
This means if and only if
holds for all models of
In propositional terms, this is tantamount to the assertion that
or that
Throwing in the lower default value permits the following abbreviations.
This means if and only if
holds for the whole universe of discourse in question, that is, if and only
is the constantly true proposition
The ambiguities of this usage are not a problem so long as we distinguish the context of definition from the context of application and restrict all shorthand notations to the latter.
Resources
- Logic Syllabus
- Boolean Function
- Boolean-Valued Function
- Logical Conjunction
- Multigrade Operator
- Parametric Operator
- Minimal Negation Operator
- Introduction to Inquiry Driven Systems
- Functional Logic • Part 1 • Part 2 • Part 3
- Cactus Language • Part 1 • Part 2 • Part 3 • References • Document History
cc: FB | Peirce Matters • Laws of Form • Mathstodon • Ontolog • Academia.edu
cc: Conceptual Graphs • Cybernetics • Structural Modeling • Systems Science




Pingback: Survey of Abduction, Deduction, Induction, Analogy, Inquiry • 2 | Inquiry Into Inquiry
Pingback: Survey of Abduction, Deduction, Induction, Analogy, Inquiry • 3 | Inquiry Into Inquiry