Differential Propositional Calculus
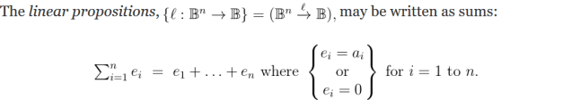
Linear Propositions
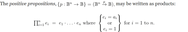
Positive Propositions
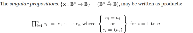
Singular Propositions
Test Patterns
JPG
Venn Diagram • P, Q, R Test Pattern
PNG
Venn Diagram • P, Q, R Test Pattern
Venn Diagram • P, Q, R Test Pattern
Venn Diagram • P, Q, R Test Pattern







