Differential Expansions of Propositions
Panoptic View • Difference Maps
In the previous post we computed what is variously described as the difference map, the difference proposition, or the local proposition of the proposition
at the point
where
and
In the universe of discourse the four propositions
can be taken to indicate the so‑called “cells” or smallest distinguished regions of the universe, otherwise indicated by their coordinates as the “points”
respectively. In that regard the four propositions are called singular propositions because they serve to single out the minimal regions of the universe of discourse.
Thus we can write so long as we know the frame of reference in force.
In the example the value of the difference proposition
at each of the four points
may be computed in graphical fashion as shown below.
The easy way to visualize the values of the above graphical expressions is just to notice the following graphical equations.
Adding the arrows to the venn diagram gives us the picture of a differential vector field.
The Figure shows the points of the extended universe indicated by the difference map
namely, the following six points or singular propositions.
The information borne by should be clear enough from a survey of these six points — they tell you what you have to do from each point of
in order to change the value borne by
that is, the move you have to make in order to reach a point where the value of the proposition
is different from what it is where you started.
We have been studying the action of the difference operator on propositions of the form
as illustrated by the example
which is known in logic as the conjunction of
and
The resulting difference map
is a (first order) differential proposition, that is, a proposition of the form
The augmented venn diagram shows how the models or satisfying interpretations of distribute over the extended universe of discourse
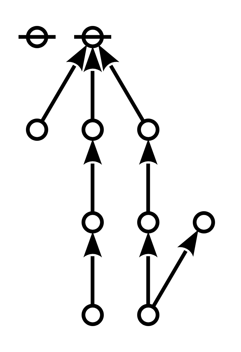
Abstracting from that picture, the difference map
can be represented in the form of a digraph or directed graph, one whose points are labeled with the elements of
and whose arrows are labeled with the elements of
as shown in the following Figure.
Any proposition worth its salt can be analyzed from many different points of view, any one of which has the potential to reveal previously unsuspected aspects of the proposition’s meaning. We will encounter more and more such alternative readings as we go.
Resources
- Logic Syllabus
- Minimal Negation Operator
- Survey of Differential Logic
- Survey of Animated Logical Graphs
cc: Academia.edu • Cybernetics • Laws of Form • Mathstodon (1) (2)
cc: Research Gate • Structural Modeling • Systems Science • Syscoi






































