Inquiry Into Inquiry
Skip to content
Home
About
Bibliography
Elsewhere❢
Logic Syllabus
Miscellaneous
Pending
Readings
Scratchpad
Surveys
Tables
The Big Picture
Toolbox
Work
Work 1
Work 2
Work 3
Work 4
Work 5
Work 6
Work 7
Work 8
Work 9
Work A
Work B
Work C
Work D
Work E
Work F
Work G
Work H
Work I
Work J
Work K
Work L
Work M
Work N
Work O
Work P
Work Q
Work R
Work S
Work T
Work U
Work V
Work W
Work X
Work Y
Work Z
Work α
Work β
Work γ
Work δ
Work ε
Work ζ
Work η
Work θ
Work ι
Work κ
Work λ
Work μ
Work ν
Work ξ
Work ο
Work π
Work ρ
Work σ
Work τ
Work υ
Work φ
Work χ
Work ψ
Work ω
Work ䷀
Work ䷁
Work ䷂
Work ䷃
Work ䷄
Work ䷅
Work ䷆
Work ䷇
Work ䷈
Work ䷉
Work ䷊
Work ䷋
Work ䷌
Work ䷍
Work ䷎
Work ䷏
Work ䷐
Work ䷑
Work ䷒
Work ䷓
Work ䷔
Work ䷕
Work ䷖
Work ䷗
Work ䷘
Work ䷙
Work ䷚
Work ䷛
Work ䷜
Work ䷝
Work ䷞
Work ䷟
Work ䷠
Work ䷡
Work ䷢
Work ䷣
Work ䷤
Work ䷥
Work ䷦
Work ䷧
Work ䷨
Work ䷩
Work ䷪
Work ䷫
Work ䷬
Work ䷭
Work ䷮
Work ䷯
Work ䷰
Work ䷱
Work ䷲
Work ䷳
Work ䷴
Work ䷵
Work ䷶
Work ䷷
Work ䷸
Work ䷹
Work ䷺
Work ䷻
Work ䷼
Work ䷽
Differential Logic • Fourth Gear Orbits • Rational Indices
By
Jon Awbrey
|
Published
December 28, 2023
|
Full size is
1103 × 381
pixels
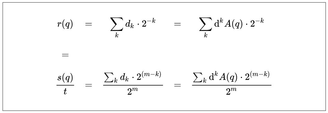
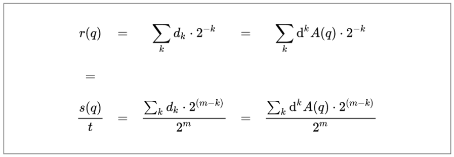
Differential Logic • Fourth Gear Orbits
Differential Logic • Differential Coefficients • State Coordinates
Share this:
Share on Bluesky (Opens in new window)
Bluesky
Email a link to a friend (Opens in new window)
Email
Share on Facebook (Opens in new window)
Facebook
Share on LinkedIn (Opens in new window)
LinkedIn
Share on Mastodon (Opens in new window)
Mastodon
Like
Loading...
Bookmark the
permalink
.
Leave a comment
Cancel reply
Δ
This site uses Akismet to reduce spam.
Learn how your comment data is processed.
Comment
Subscribe
Subscribed
Inquiry Into Inquiry
Join 255 other subscribers
Sign me up
Already have a WordPress.com account?
Log in now.
Inquiry Into Inquiry
Subscribe
Subscribed
Sign up
Log in
Copy shortlink
Report this content
View post in Reader
Manage subscriptions
Collapse this bar
%d