Inquiry Into Inquiry
Skip to content
Home
About
Bibliography
Elsewhere❢
Logic Syllabus
Miscellaneous
Pending
Readings
Scratchpad
Surveys
Tables
The Big Picture
Toolbox
Work
Work 1
Work 2
Work 3
Work 4
Work 5
Work 6
Work 7
Work 8
Work 9
Work A
Work B
Work C
Work D
Work E
Work F
Work G
Work H
Work I
Work J
Work K
Work L
Work M
Work N
Work O
Work P
Work Q
Work R
Work S
Work T
Work U
Work V
Work W
Work X
Work Y
Work Z
Work α
Work β
Work γ
Work δ
Work ε
Work ζ
Work η
Work θ
Work ι
Work κ
Work λ
Work μ
Work ν
Work ξ
Work ο
Work π
Work ρ
Work σ
Work τ
Work υ
Work φ
Work χ
Work ψ
Work ω
Work ䷀
Work ䷁
Work ䷂
Work ䷃
Work ䷄
Work ䷅
Work ䷆
Work ䷇
Work ䷈
Work ䷉
Work ䷊
Work ䷋
Work ䷌
Work ䷍
Work ䷎
Work ䷏
Work ䷐
Work ䷑
Work ䷒
Work ䷓
Work ䷔
Work ䷕
Work ䷖
Work ䷗
Work ䷘
Work ䷙
Work ䷚
Work ䷛
Work ䷜
Work ䷝
Work ䷞
Work ䷟
Work ䷠
Work ䷡
Work ䷢
Work ䷣
Work ䷤
Work ䷥
Work ䷦
Work ䷧
Work ䷨
Work ䷩
Work ䷪
Work ䷫
Work ䷬
Work ䷭
Work ䷮
Work ䷯
Work ䷰
Work ䷱
Work ䷲
Work ䷳
Work ䷴
Work ䷵
Work ䷶
Work ䷷
Work ䷸
Work ䷹
Work ䷺
Work ䷻
Work ䷼
Work ䷽
Work ䷚
Peirce’s 1870 “Logic of Relatives” • Comment 12.2
PNG
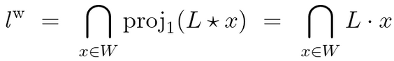
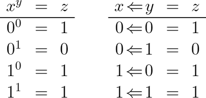
Involution ≅ Implication
Matrix Involution
Matrix Computation
LaTeX
Involution ≅ Implication
Matrix Involution
Matrix Computation
Share this:
Share on Bluesky (Opens in new window)
Bluesky
Email a link to a friend (Opens in new window)
Email
Share on Facebook (Opens in new window)
Facebook
Share on LinkedIn (Opens in new window)
LinkedIn
Share on Mastodon (Opens in new window)
Mastodon
Like
Loading...
Subscribe
Subscribed
Inquiry Into Inquiry
Join 255 other subscribers
Sign me up
Already have a WordPress.com account?
Log in now.
Inquiry Into Inquiry
Subscribe
Subscribed
Sign up
Log in
Copy shortlink
Report this content
View post in Reader
Manage subscriptions
Collapse this bar
Loading Comments...
Write a Comment...
Email (Required)
Name (Required)
Website
%d